西北大学
学院首页
全国大学生广告艺术大赛陕西赛区
导航
新闻中心
学院新闻
通知公告
学院概况
学院简介
学院领导
学院机构
专业介绍
教职员工
新闻系
广告系
传播系
网络新媒体系
党政管理
实验中心
退休职工
人才招聘
人才培养
本科生教育
研究生教育
实践教学
教学研究
教学管理
常用下载
学术科研
学术会议
学术讲座
科研成果
科研机构
实验中心
中心概况
中心结构
组织机构
规章制度
党建工作
党建活动
组织机构
相关制度
资料下载
学生工作
学生活动
组织机构
管理制度
就业指导
心理健康
院友工作
院友活动
院友动态
优秀院友
对外培训
项目简介
工作团队
课程设置
招生简章
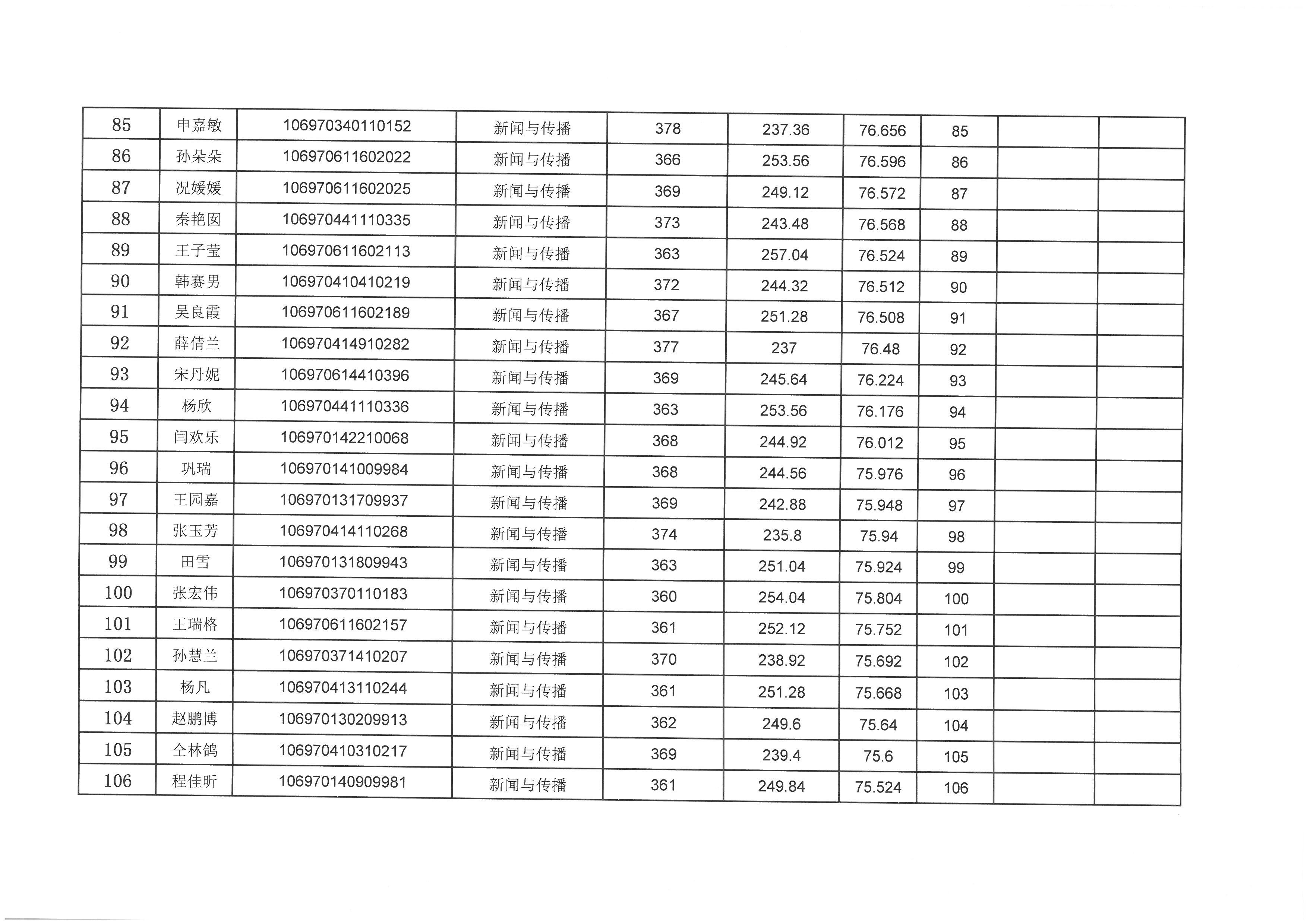
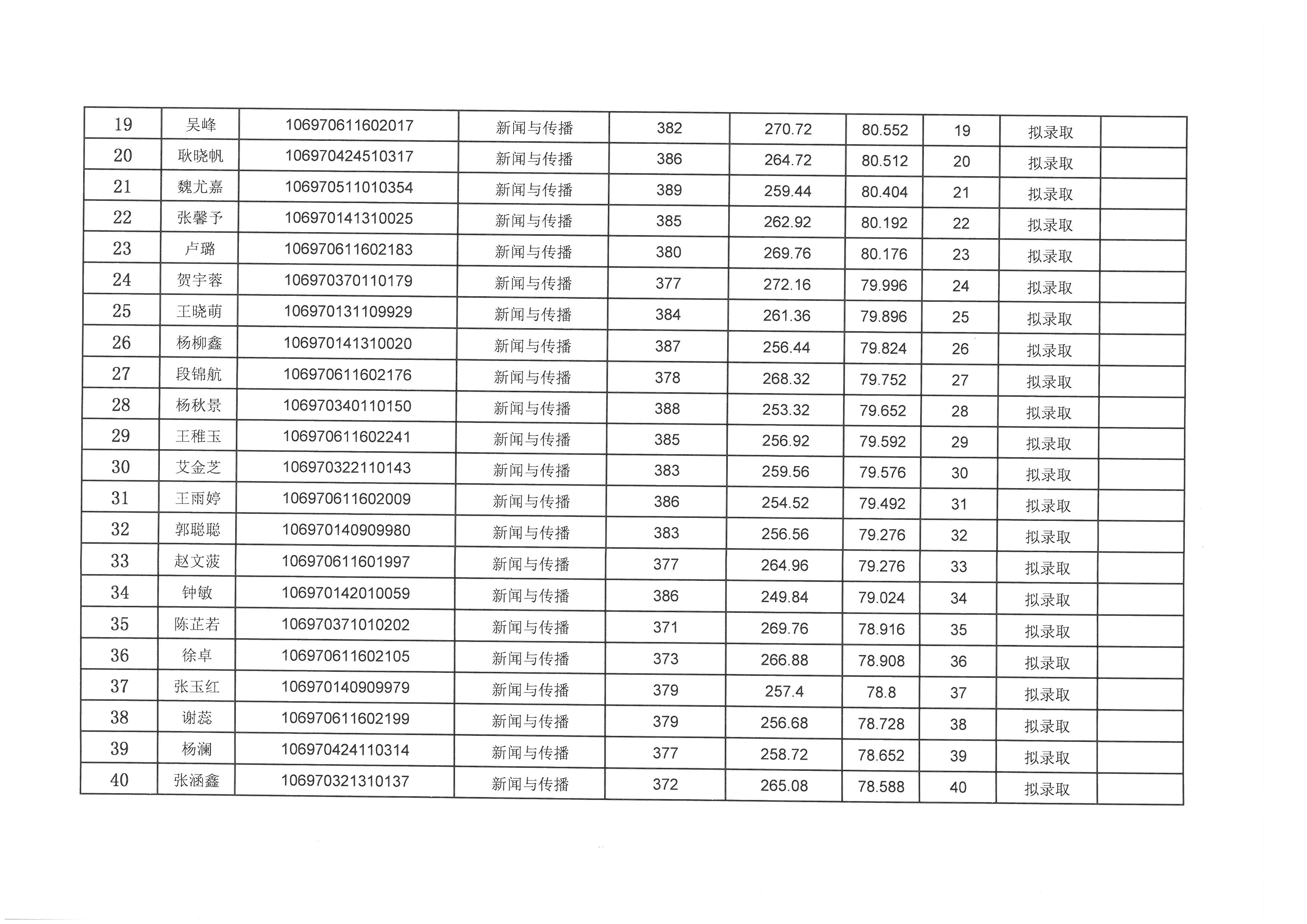
2020年西北大学新闻传播学院硕士研究生一志愿复试结果公示
发布时间:2020年05月19日 09:16
浏览次数:7670